2º BACH
Ejercicios para 2º de Bachillerato con soluciones
1º BACH
Ejercicios para 1º de Bachillerato con soluciones
4º ESO
Ejercicios para 4º de ESO con soluciones
3º ESO
Ejercicios para 3º de ESO con soluciones
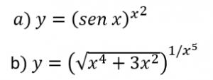
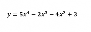
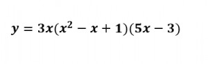
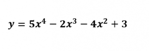
Ejercicios Derivadas
Siguiente Ejercicios Geometría






